替换
查找内容:
替换为:
全部替换
插入链接
链接网址:
链接显示标题:
请选择网址类型
点我插入链接
插入文件
文件名称:
文件显示标题:
请选择文件类型
点我插入文件
发现错误 发表观点

原文内容

反馈意见

提交 正在提交..... 反馈历史

复制下面的地址分享给好友

确定 正在提交.....
train

你好,

关闭
提交 重做 重新开始 关闭
跳转
  • 新建同级
  • 新建子级
  • 删除
  • 重命名
选择收藏夹
新建收藏夹
公开

取消 确定

1. 基本信息
姓名:
企业:
职位:
联系方式:
邮箱:
2. 请在此填写您的问题,我们将优先安排答疑
提交

报名成功!
课程观看链接如下:
请添加课程助理微信,获得更多信息:
确认
确定
取消 确认

识林

  • 知识
  • 视频
  • 社区
  • 政策法规
    • 国内药监
    • FDA
    • EU
    • PIC/S
    • WHO
    • ICH
    • 英国MHRA
    • 日本PMDA
    • 加拿大HC
    • 澳大利亚TGA
    • 新加坡HSA
    • 瑞士Swissmedic
    • 韩国MFDS
    • 沙特阿拉伯SFDA
    • 巴西ANVISA
  • 研发注册
    • 概览
    • 监管动态
    • 研究专题
  • 生产质量
    • 概览
    • 监管动态
    • 各国GMP
    • 中国GMP
    • 中国GMP指南(第二版)
    • GMP对比
    • 检查缺陷
    • 研究专题
  • 主题词库
  • 帮助中心
  • 关于识林
    • 识林介绍
    • 识林FAQs
    • 功能介绍
    • 团队诊断
    • 联系我们
  • 30天免登录

    忘记密码?

【周末杂谈】奇妙的公式

首页 > 资讯 > 【周末杂谈】奇妙的公式

页面比对

出自识林

【周末杂谈】奇妙的公式
周末杂谈
页面比对
笔记

2022-01-30

跳转到: 导航, 搜索

一个看似纯粹的数学问题,却有着非常实际的应用,并予人以想象力

今天是腊月二十八,大家都沉浸在喜庆的过年气氛中。像去年一样,周末杂谈来凑个热闹,与大家分享数学上一项惊人的新进展,让脑子兴奋一下。该进展刊登在本月12日美国的《物理评论快报,Physics Review Letters》上,作者是意大利物理学家Alessio Zaccone博士,结果如下。

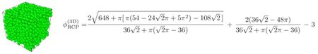
长长的公式表示的是如下问题的精确解:在立方体内,随机地堆放同样大小的刚球,求所有球所占的总体积与三维(3D)立方体积的最大比值,即求解随机密堆积(Random Close Packing,RCP),Ø3DRCP。

也许有人会觉得,若是放的球小一些,就可以多占一些体积。其实不然,小球的球与球和球与立方体表面的缝隙空间小些,但球的数量多了,缝隙的数量也多了,缝隙的总体积并不一定减小。

此问题可用计算机模拟实验求近似解。反复、随机地投放球,寻找最高的堆积值。每次实验用的球都一样大小,但不同次实验可用不同大小的球。多年来的计算结果显示Ø3DRCP在0.6和0.69之间。上述公式给出的值是0.65896…。

美妙的是,Ø3D RCP可用公式毫无近似地精确表达,且如此精巧,仅用整数和π就可表达!近来常听到对AI和大数据的推崇,但笔者难以想象AI和计算机模拟会在可见的将来产生如此美妙的公式。

Zaccone博士的文章指出随机密堆积问题的精确求解,可以推广到二维空间(用圆去覆盖正方形)或N-维空间(用N-维球去填充N-维正方体),且圆球可以用椭球替换。

也许有人会问,你越说越理论了,随机密堆积的求解有啥实际用处吗?

这个看上去非常理论的问题,其实有非常实际的应用,不仅包括在物理和材料科学中的应用,还包括带有噪声的信号通信问题。现以二维空间的随机密堆积为例,来形象地显示与信号通信问题的关系。

若将信号描述为信号编码空间中的一个几何点,带噪声的信号便可用以信号为中心的圆代表(圆者,一周同长也),半径代表着噪声的大小。当两个带噪声的信号靠得过近,导致圆重叠,重叠区域就代表着难辨识的信号空间。在保证信号传递无误的前提下,提高信号传输的效率,即让给定的信号空间尽量多地容纳可以辨识的信号,就等于问:给定空间最多能容纳多少互不重叠的圆。这不就是二维随机密堆问题吗?!

那些有耐心坚持到此的读者,其想象力可能已经开始飞翔了,已经喜迎节日了。

祝大家新春快乐!

作者:榆木疙瘩
识林®版权所有,未经许可不得转载。如需使用请联系 admin@shilinx.com 。

取自“https://login.shilinx.com/wiki/index.php?title=%E3%80%90%E5%91%A8%E6%9C%AB%E6%9D%82%E8%B0%88%E3%80%91%E5%A5%87%E5%A6%99%E7%9A%84%E5%85%AC%E5%BC%8F”
上一页: 国内药政每周导读:2022.01.24-01.30
下一页: FDA_生物制品中心改组,增加人手应对未来基因治疗浪潮
相关内容
相关新闻
  • 【周末杂谈】疫苗当先,众人挣...
  • 【周末杂谈】疫苗与全球化
  • 【周末杂谈】疫情过后,特事特...
  • 【周末杂谈】疾病意识宣传与药...
  • 【周末杂谈】病毒传播和科技应...
热点新闻
  • FDA 发483回复指南:从内容,...
  • 【直播】26年3月全球法规月报...
  • 【主题词】人工智能,贝叶斯方...
  • 【轻松一刻】今天,你养龙虾了...
  • 国际药政每周概要:FDA 力推...

 反馈意见

Copyright ©2011-2026 shilinx.com All Rights Reserved.
识林网站版权所有 京ICP备12018650号-2 (京)网药械信息备字(2022)第00078号
请登录APP查看
打开APP