替换
查找内容:
替换为:
全部替换
插入链接
链接网址:
链接显示标题:
请选择网址类型
点我插入链接
插入文件
文件名称:
文件显示标题:
请选择文件类型
点我插入文件
发现错误 发表观点

原文内容

反馈意见

提交 正在提交..... 反馈历史

复制下面的地址分享给好友

确定 正在提交.....
train

你好,

关闭
提交 重做 重新开始 关闭
跳转
  • 新建同级
  • 新建子级
  • 删除
  • 重命名
选择收藏夹
新建收藏夹
公开

取消 确定

1. 基本信息
姓名:
企业:
职位:
联系方式:
邮箱:
2. 请在此填写您的问题,我们将优先安排答疑
提交

报名成功!
课程观看链接如下:
请添加课程助理微信,获得更多信息:
确认
确定
取消 确认

识林

  • 知识
  • 视频
  • 社区
  • 政策法规
    • 国内药监
    • FDA
    • EU
    • PIC/S
    • WHO
    • ICH
    • 英国MHRA
    • 日本PMDA
    • 加拿大HC
    • 澳大利亚TGA
    • 新加坡HSA
    • 瑞士Swissmedic
    • 韩国MFDS
    • 沙特阿拉伯SFDA
    • 巴西ANVISA
  • 研发注册
    • 概览
    • 监管动态
    • 研究专题
  • 生产质量
    • 概览
    • 监管动态
    • 各国GMP
    • 中国GMP
    • 中国GMP指南(第二版)
    • GMP对比
    • 检查缺陷
    • 研究专题
  • 主题词库
  • 帮助中心
  • 关于识林
    • 识林介绍
    • 识林FAQs
    • 功能介绍
    • 团队诊断
    • 联系我们
  • 30天免登录

    忘记密码?

FDA 官方开展的仿制药研究课题概要:定量方法与模型(下篇)

首页 > 资讯 > FDA 官方开展的仿制药研究课题概要:定量方法与模型(下篇)

页面比对

出自识林

FDA 官方开展的仿制药研究课题概要:定量方法与模型(下篇)
页面比对
笔记
历史版本(Version List)展开 ∨收起 ∧
您暂未开通此内容

2025-10-17

跳转到: 导航, 搜索
*题图截取自报告。

在《2024财年GDUFA科学与研究报告》中,FDA利用内部资源和外部合作,在九大领域开展了超过70项研究课题,涵盖当前仿制药研发、审评以及监管科学的重大课题,旨在全面促进仿制药产品开发和可及。

如今的仿制药开发已不同以往,在质量和成本的双重压力下,我国仿制药企业有必要迎头赶上,走在技术的最前沿,同时也要立足中美市场并走向全球。FDA的研究能够提供与一般指南不一样的独特角度,不仅提示开发方向,也可解决实际问题。

识林将逐一编译报告内容,包括代表性课题内容、课题目录以及已发表文献清单,陆续发布,供我国仿制药企业查阅参考。

第七章:定量方法与模型(下篇)

GDUFA III期间一个主要科学与研究优先领域是促进模型集成证据(MIE)的应用,以支持生物等效性(BE)。研究重点在于开发工具和先进方法,整合互补的计算机模拟(建模)、体内和体外证据,从而共同降低BE研究失败的风险,并支持虚拟BE研究框架。报告分三小节介绍相关研究,分别是“非口服给药药品的机制建模”、“口服吸收模型与生物等效性”、“定量临床药理学”。本章篇幅较长,为方便阅读,分上下两篇发布,下篇介绍“口服吸收模型与生物等效性”、“定量临床药理学”。

口服吸收模型与生物等效性

利用体外生物预测性测试和PBPK建模评估口服常释(immediate release,IR)药品在进食条件下的BE

该领域的一项研究计划涉及研究PBPK模型如何帮助评估食物对高风险IR口服制剂BE评估的影响。这项工作的一个目标是支持ICH于2024年7月采纳的M13A《口服固体速释制剂的生物等效性》指南实施。资助项目U01FD007352侧重于开发和验证一个PBPK分析的最佳实践框架,以支持对BCS II类药物进食状态BE研究的模型引导的BE豁免。该研究产生的体外生物药剂学数据,开发并验证了利伐沙班和利托那韦的体外体内外推导(IVIVE)-PBPK模型,并建立了一个流程图来展现产品特异性和剂量特异性的食物效应(详见下文研究亮点)。

另一项合约(75F40121C00020)探索了可能影响进食条件下BE的制剂因素,使用能够模拟食物引起的粘度、机械压力和流体动力的体外崩解和溶出测试。研究表明,一些辅料,如不溶性辅料微晶纤维素,在高粘度介质中会减慢崩解和溶出,但在正常粘度介质中则不会。该合约涉及构建一个半生理PBPK建模方法,用于反推IR片剂的体内溶出曲线。它有助于指导开发一种新的基于流通池的体外方法,该方法为两种米多君仿制片剂的吸收动力学提供了正确的排序。这项工作有助于建立更具生物预测性的体外溶出条件。

PBPK支持更多BCS III类药物豁免

该领域的第二项研究计划涉及研究PBPK模型如何帮助支持扩展BCS III类药物的BE豁免。作为FDA内部研究项目的一部分,将克拉屈滨(被认为是BCS III类药品)的降解溶出数据纳入PBPK建模,以预测酸性条件下克拉屈滨降解对BE的影响。该项目证明,克拉屈滨在酸性条件下的降解不影响仿制克拉屈滨片剂的BE,支持在修订的克拉屈滨片剂PSG(于2024年8月发布)中增加BCS III豁免选项。该选项缓解了由于患者招募困难而在复发型多发性硬化症患者中进行体内BE研究的挑战。

PBPK支持新增规格的BE

资助项目U01FD007959研究目的是确定用于MR片剂新增规格的考虑因素,并确定采用不同制剂设计策略的口服MR片剂的关键质量属性(CQA)和制剂设计空间。该研究旨在开发具有多种溶出测试技术的机制模型,以建立溶出安全空间并识别不同规格间的CQA。模型预计将能够预测缓释片剂不同制剂变体的临床暴露情况。前期该项目主要侧重于测量健康受试者中两种具有相同治疗等效性评级的口服格列吡嗪缓释制剂的体内药物释放和药代动力学。研究表明,格列吡嗪浓度和pH在胃肠道(GI)的不同区域是可测量的。这证实了使用插管从GI道进行连续液体采样是可行的,并可能有助于了解体内药物释放性能。

虚拟生物等效性评估

资助项目U01FD007904(Certara UK Limited)和U01FD007906(Simulations Plus)涉及开发机制性计算机工具、方法学和工作流程,以支持口服制剂和长效注射(LAI)产品的虚拟生物等效性(VBE)评估。研究人员考虑几种群体变异性来源、PBPK模型的机制性质、给药途径及其复杂性,以及虚拟试验的特征,如研究设计、规模和人群。2024财年的研究工作侧重于选定药品以及随后为这些药品开发和验证PBPK模型。

此外,为加强与仿制药行业的研究合作,并最大化这些VBE模型的预测能力,复杂仿制药研究中心(CRCG)宣布公开邀请仿制药行业利益相关者(非联邦实体)为这些资助项目范围内的特定药品提供体外和/或体内临床前和/或临床研究数据。多个仿制药行业利益相关者响应了公告并贡献实验数据。

PBPK支持口腔给药IVIVE

另一份合约(75F40120C00150)开发了一个基于机制的计算机模拟模型,该模型在MembranePlusTM中描述了体外EpiOral模型,用来确定体外口腔黏膜屏障内的API特性(药物扩散系数(Dm)和上皮组织中未结合分数(fut))。同时,使用GastroPlus®开发了基线PBPK模型,用于描述舒芬太尼、芬太尼、丁丙诺啡、唑吡坦和利扎曲坦的吸收、分布、代谢和排泄(ADME)。对于这五种化合物,使用一致的缩放因子来增强临床PK预测,验证了IVIVE方法。下一步将包括测量药物制剂的体外溶出曲线,并为每个制剂开发IVIVE。具有一致缩放因子的新型基于PBPK的IVIVE方法可以预测多种API和制剂在口腔给药后的临床PK,并可能支持新型和仿制口腔药品的开发。

此外,2023年12月,FDA和CRCG共同组织了一场名为“PBPK模型进展及其在口服药物产品开发中的监管效用”的研讨会,讨论了与口服PBPK吸收建模开发相关的挑战、经验和进展。研讨会还报告了研究项目成果,包括建立生物预测性体外测试(例如,溶出度)以解决与从空腹状态外推到进食状态、从胃pH正常受试者外推到胃pH升高受试者、从成人评估BE到儿科以及其他基于风险的BE评估相关的风险。

研究亮点:PBPK建立食物效应IVIVE

由资助项目U01FD007352支持的研究产生了体外生物药剂学数据用于开发和验证利伐沙班和利托那韦的IVIVE-PBPK模型。利伐沙班PBPK模型预测了治疗剂量范围内的全身暴露,包括由于溶解度限制导致的非剂量比例PK特征。研究发现,使用粒度分布可以很好地预测体外溶出结果以及利伐沙班口服PK。该PBPK模型还使研究团队能够预测利伐沙班剂量依赖性食物效应。

利托那韦PBPK模型重现了利托那韦无定形固体分散体在空腹和进食条件下的全身暴露。基于IVIVE-PBPK模型的分析揭示,尽管在进食条件下胶束介导的利托那韦增溶作用增强,但进食条件下管腔内液体的高粘度似乎显著延迟了药物扩散,从而延迟了溶出,导致了轻微的负面食物效应。利托那韦PBPK模型使研究团队能够预测质子泵抑制剂对利托那韦吸收的影响。

总之,本研究期间开发的工作流程(图1)似乎可用于预测特定制剂与特定剂量下的食物效应,这将为在进食条件下进行虚拟生物等效性试验提供信息铺平道路。

图1 与空腹状态下基于肠内数据和/或药代动力学数据的体内学习阶段相关的IVIVE-PBPK工作流程

研究项目清单及成果如下(翻译仅供参考):

研究进展与成果 研究项目
Continuing Grants and Contracts

持续性资助与合约

Grant (U01FD007904) A State-of-the-Art Virtual Bioequivalence Platform and Case Studies on Complex Formulations, Systemic and Local Concentration-based Bioequivalence

资助(U01FD007904):一个先进的虚拟生物等效性平台及复杂制剂、基于系统的和局部浓度的生物等效性案例研究

Grant (U01FD007906) Development and Validation of a Workflow to Conduct Virtual Bioequivalence Studies Using PBBM-PBPK Models

资助(U01FD007906):使用PBBM-PBPK模型开展虚拟生物等效性研究的流程开发与验证

Grant (U01FD007959) Evaluation of Oral Modified-Release Tablets to Support the Approval of Additional Strengths

资助(U01FD007959):评估口服调释片以支持额外规格的批准

Contract (75F40121C00020) Disintegration and Dissolution of Solid Dosage Forms and Influence of Food Induced Viscosity on its Kinetics, Tools and Methodologies for Bioequivalence and Substitutability Evaluation

项目(75F40121C00020):固体剂型的崩解与溶解及食物诱导黏度对其动力学的影响、生物等效性和替代性评估的工具与方法

Contract (75F40120C00150) Robust In Vitro/ In Silico Model to Accelerate Generic Drug Product Development for the Oral Cavity Route of Administration

项目(75F40120C00150):稳健的体外/计算机模拟模型加速口服给药仿制药的开发

Completed Grants and Contracts

已完成的资助与合约

Grant (U01FD007352) Development and Validation of a Best Practices Framework for PBPK Analysis for Biopharmaceutic Applications in Support of Model-Informed Biowaivers of Fed State BE Studies for BCS Class II Drugs

资助(U01FD007352):支持基于模型的生物等效性试验豁免的生物药剂学应用中,针对BCS II类药物餐后生物等效性研究的PBPK分析最佳实践框架的开发与验证

Active FDA Research

正在进行的FDA研究

Best practice for Using PBPK Modeling for Orally Absorbed Generic Drug Products

口服吸收仿制药PBPK建模的最佳实践

Best Practice for Using Physiologically Based Pharmacokinetic (PBPK) Modeling for Orally Absorbed Generic Drug Products

口服吸收仿制药生理药代动力学(PBPK)模型的最佳实践

International Council for Harmonisation of Technical Requirements for Pharmaceuticals for Human Use - M13A

ICH- M13A

U.S. FDA Efforts to Support Harmonization of Generic Drug Approval Standards

FDA致力于推动仿制药审批标准的协调

Articles

文章

Relative Performance of Volume of Distribution Prediction Methods for Lipophilic Drugs with Uncertainty in LogP Value

分布容积预测方法在LogP值存在不确定性情况下对脂溶性药物的相对表现

Development of Quantitative Comparative Approaches to Support Complex Generic Drug Development

开发定量比较方法以支持复杂仿制药研发

Antioxidants had No Effects on the In-Vitro Permeability of BCS III Model Drug Substances

抗氧化剂对BCS III类模型药物物质的体外渗透性无影响

Leveraging Modeling and Simulation to Enhance the Efficiency of Bioequivalence Approaches for Generic Drugs: Highlights from the 2023 Generic Drug Science and Research Initiatives Public Workshop

利用建模和模拟提高仿制药生物等效性方法的效率:2023年仿制药科学和研究行动事项公开研讨会的重点

In Vitro Lipolysis Model to Predict Food Effect of Poorly Water-Soluble Drugs Itraconazole, Rivaroxaban, and Ritonavir

体外脂解模型预测难溶性药物伊曲康唑、利伐沙班和利托那韦的食物效应

Using Mechanistic Modeling Approaches to Support BE Assessments for Oral Products

使用机械建模方法支持口服产品的BE评估

定量临床药理学

临床药理学优化BE设计

与佛罗里达大学合作的资助项目U01FD007936目的是使用群体PK建模方法,从仿制口服吸入药品的全身PK数据预测区域肺部暴露。初步结果表明,经验模型可能识别由机制性吸入模型创建的各种情景中的区域沉积。研究目标是为区域肺部暴露提供一种有效的方法,作为为比较临床终点或药效学BE研究的实用替代。

FDA继续利用内部定量临床药理学(QCP)专业知识解决复杂或新出现的监管问题,包括部分AUC建议、窄治疗指数药物分类以及与其他监管机构的协调。FDA还致力于为在患者中进行的PK BE研究开发创新设计。例如,评估肿瘤药品研究的减少或稀疏采样方案、缩短研究持续时间或减少样本量的LAI替代研究设计,以及适应性设计。

研究者还在一个由FDA和CRCG共同主办的CRCG研讨会上讨论了模型主文件(MMF)的监管应用。通过FDA与乌普萨拉大学合作(合约HHSF223201710015C)开发的基于群体PK的MIE框架被提出作为一种潜在的MMF类型。

研究亮点:基于MIE的长半衰期高变异药物BE方法优化

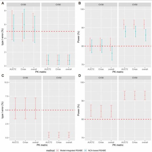
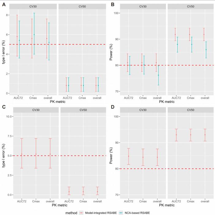
高变异药物(HVD)的BE可以使用RSABE方法进行评估,该方法推荐采用重复交叉设计(部分或完全重复),通过非房室模型分析(NCA)分别测量Cmax和AUC来比较吸收速率和程度。然而,对于半衰期长的HVD,使用重复交叉设计的BE研究可能遭遇困难,因为NCA要求在各治疗周期之间设置充分的洗脱期。在合约项目75F40122C00139中进行的研究使用先前开发的MIE方法,通过完全与不完全洗脱期试验设计对长半衰期HVD进行了BE数据分析(图1)。

图 1 已开发的MIE方法概述

研究人员采用一室药代动力学模型对包含密集采样(每个个体18个样本)的数据集进行了500次模拟,该模型具有一级吸收和消除特征,典型半衰期为55.5小时。研究评估了两个水平的受试者内标准差(SWR):30%(CV30)和48%(CV50),测试了具有完全洗脱(≥5个半衰期)和不完全洗脱(72小时给药间隔)的完全重复交叉研究,并通过在对相对生物利用度(FTRT)添加处理效应(测试/参考比)来模拟制剂差异,还分别在FTRT=0.9和扩大的BE限(CV30为FTRT=1.3,CV50为FTRT=1.53)下评估了功效和I类错误。使用MIE方法评估了完全和不完全洗脱设计。同时,使用标准的基于NCA的RSABE分析方法评估了完全洗脱设计。

两种方法在完全洗脱设计下都能控制I类错误,但MIE方法在更高变异性下效果更佳(图2)。此外,MIE方法控制了I类错误,并在不完全洗脱设计下显示出足够的效力。而且,不完全洗脱设计将总研究持续时间从37.5天减少到12天(图3)。因此,采用不完全洗脱设计的MIE方法可作为一种有前景的策略,通过减少总研究持续时间来评估长半衰期HVD的BE。

图 2 使用完全重复交叉设计对具有长半衰期(55.5小时)的HVD进行BE分析的I类错误和功效结果以及95%置信区间(CI),具有完整洗脱期(图A和B)或不完整洗脱期(图C和D;总周期长度,包括洗脱,为72小时),以及涉及模型集成方法或传统NCA方法(仅在完整洗脱时才有可能)的RSABE分析。
图 3 采用四种完全重复交叉研究的完全和不完全洗脱设计的研究持续时间。X轴显示不同的研究持续时间:完全洗脱设计为37.5天,不完全洗脱设计为12天。

研究项目清单及成果如下(翻译仅供参考):

研究进展与成果 研究项目
Continuing Grants and Contracts

持续性资助与合约

Grant (U01FD007936) Feasibility of Predicting Regional Lung Exposure from Systemic Pharmacokinetic Data of Generic OIDPs via Population Pharmacokinetic Modeling and NonCompartmental Approaches

资助(U01FD007936):通过群体药代动力学建模和非房室模型方法预测仿制OIDP的全身药代动力学数据与区域肺部暴露的可行性

Contract (75F40122C00139) Model-Integrated Strategies for Bioequivalence Evaluation of Drugs with High Variability and/or Long Half-Life

项目(75F40122C00139):高变异性和/或长半衰期药物生物等效性评估的模型整合策略

Active FDA Research

正在进行的FDA研究

Evaluation and Application of Repeated Crossover Study Design for Bioequivalence Assessment

重复交叉研究设计在生物等效性评估中的评价与应用

Evaluation and Development of Model-Integrated Bioequivalence Analysis Strategies

模型整合生物等效性分析策略的评估与开发

Improve BE Analysis for Narrow Therapeutic Index Drugs

改善窄治疗指数药物BE分析

Investigation of Bayesian Estimation Based Procedure for Bioequivalence Assessment

基于贝叶斯估计的生物等效性评估研究

Modeling and Simulation to Support the Regulatory Harmonization on Bioequivalence Studies for Modified-Release Products

建模与仿真支持调释产品生物等效性研究的监管协调

Model-Based Assessment on Bioequivalence Limits for Anticoagulants

基于模型的抗凝药物生物等效性限度评估

Nasal Pharmacokinetic (PK) /Pharmacodynamic (PD) Studies of Oral Combination Products Containing Opioid Agonists and Antagonists

含阿片类激动剂和拮抗剂的口服复方制剂的鼻腔药代动力学(PK)/药效动力学(PD)研究

New Approaches to Identify Clinically Relevant Partial AUC Measures for Bioequivalence

识别生物等效性临床相关部分AUC测量值的新方法

Pharmacokinetic Data Analysis to Identify Chewing Methods for Opioid Drug

药代动力学数据分析以识别阿片类药物的咀嚼方法

Topical Dermatological Corticosteroids Dose Selection Using Model-Based Approach

使用基于模型的方法选择外用皮肤糖皮质激素的剂量

Articles

文章

Development and Comparison of Model-Integrated Evidence Approaches for Bioequivalence Studies with Pharmacokinetic End Points

开发与比较以药代动力学为终点的生物等效性研究的模型整合证据方法

RPEM: Randomized Monte Carlo Parametric Expectation Maximization Algorithm

RPEM:随机蒙特卡罗参数期望最大化算法

The Role of Model Master Files for Sharing, Acceptance, and Communication with FDA

模型主文件在与FDA共享、接收和沟通中的作用

Pharmacokinetic Models for Inhaled Fluticasone Propionate and Salmeterol Xinafoate to Quantify Batch-to-Batch Variability

吸入用丙酸氟替卡松和辛酸沙美特罗的药代动力学模型以量化批次间的变异性

pyDarwin Machine Learning Algorithms Application and Comparison in Nonlinear Mixed-effect Model Selection and Optimization

pyDarwin机器学习算法在非线性混合效应模型选择与优化中的应用及比较

pyDarwin: A Machine Learning Enhanced Automated Nonlinear Mixed-Effect Model Selection Toolbox

pyDarwin:一个机器学习增强型自动非线性混合效应模型选择工具箱

Evaluation of ModelIntegrated Evidence Approaches for Pharmacokinetic Bioequivalence Studies Using Model Averaging Methods

使用模型平均方法进行药代动力学生物等效性研究的模型整合证据方法评估

Leveraging Modeling and Simulation to Enhance the Efficiency of Bioequivalence Approaches for Generic Drugs: Highlights from the 2023 Generic Drug Science and Research Initiatives Public Workshop

利用建模和模拟提高仿制药生物等效性方法的效率:2023年仿制药科学和研究行动事项公开研讨会的重点

Model-Based Bioequivalence Approach for Sparse Pharmacokinetic Bioequivalence Studies: Model Selection or Model Averaging?

基于模型的生物等效性方法用于稀疏药代动力学生物等效性研究:模型选择还是模型平均?

Experience Learned and Perspectives on Using Model Integrated Evidence in the Regulatory Context for Generic Drug Products

在仿制药监管环境中使用模型整合证据的经验和展望

Application of Advanced Modeling Approaches Supporting Generic Product Development Under GDUFA for Fiscal Year 2023

2023财年GDUFA下支持仿制药开发的高级建模方法的应用

Use of the Same Model or Modeling Strategy Across Multiple Submissions: Focus on Complex Drug Products

在多个提交中使用相同模型或建模策略:聚焦于复杂药物产品

Commentary on 'Exploration of Suitable Pharmacodynamic Parameters for Acarbose Bioequivalence Evaluation: a Series of Clinical Trials with Branded Acarbose' by Jie Huang et al

对《探索适用于阿卡波糖生物等效性评价的药效学参数:一系列品牌阿卡波糖的临床试验》的评论

识林-梓

识林®版权所有,未经许可不得转载

必读岗位及工作建议:

  • QA(质量保证):负责确保原料药生产全过程符合质量管理规范,监控质量体系运行。
  • QC(质量控制):负责原料药的质量检测,确保产品质量符合标准。
  • 生产:负责按照GMP要求进行原料药的生产操作,确保生产过程合规。
  • 工程:负责厂房设施和设备的维护保养,确保生产环境和设备符合要求。

适用范围:
本文适用于化学药领域的原料药生产,包括创新药和仿制药,适用于大型药企、跨国药企以及CRO和CDMO等企业类别,发布机构为国际通用标准。

文件要点总结:
原料药的生产质量管理规范强调了从质量管理到生产控制的全过程管理。首先,文件明确了质量管理的原则和机构职责,特别强调了质量保证和质量控制的重要性,并规定了自检、产品质量回顾以及质量风险管理的具体要求。在人员方面,规定了资质、培训和卫生要求,确保员工符合岗位需求。厂房与设施章节详细规定了设计建造、公用设施和特殊隔离要求,以保证生产环境的适宜性。设备章节则涉及设计建造、维护保养、校准和计算机化系统的要求,确保设备运行的可靠性。文件还特别提到了无菌原料药的生产特点,包括生产工艺、厂房设施设备设计、生产过程管理以及环境控制等,这些都是确保原料药质量的关键环节。

以上仅为部分要点,请阅读原文,深入理解监管要求。

取自“https://login.shilinx.com/wiki/index.php?title=FDA_%E5%AE%98%E6%96%B9%E5%BC%80%E5%B1%95%E7%9A%84%E4%BB%BF%E5%88%B6%E8%8D%AF%E7%A0%94%E7%A9%B6%E8%AF%BE%E9%A2%98%E6%A6%82%E8%A6%81%EF%BC%9A%E5%AE%9A%E9%87%8F%E6%96%B9%E6%B3%95%E4%B8%8E%E6%A8%A1%E5%9E%8B%EF%BC%88%E4%B8%8B%E7%AF%87%EF%BC%89”
上一页: 【警告信翻译】无菌保证,烟雾试验,疫苗包材,临床方案,乙二醇二甘醇监测等
下一页: CDER_主任称生物类似药审批将与化学仿制药趋同
相关内容
热点新闻
  • FDA 发483回复指南:从内容,...
  • 【直播】26年3月全球法规月报...
  • 【主题词】人工智能,贝叶斯方...
  • 【轻松一刻】今天,你养龙虾了...
  • 国际药政每周概要:FDA 力推...

 反馈意见

Copyright ©2011-2026 shilinx.com All Rights Reserved.
识林网站版权所有 京ICP备12018650号-2 (京)网药械信息备字(2022)第00078号
请登录APP查看
打开APP