替换
查找内容:
替换为:
全部替换
插入链接
链接网址:
链接显示标题:
请选择网址类型
点我插入链接
插入文件
文件名称:
文件显示标题:
请选择文件类型
点我插入文件
发现错误 发表观点

原文内容

反馈意见

提交 正在提交..... 反馈历史

复制下面的地址分享给好友

确定 正在提交.....
train

你好,

关闭
提交 重做 重新开始 关闭
跳转
  • 新建同级
  • 新建子级
  • 删除
  • 重命名
选择收藏夹
新建收藏夹
公开

取消 确定

1. 基本信息
姓名:
企业:
职位:
联系方式:
邮箱:
2. 请在此填写您的问题,我们将优先安排答疑
提交

报名成功!
课程观看链接如下:
请添加课程助理微信,获得更多信息:
确认
确定
取消 确认

识林

  • 知识
  • 视频
  • 社区
  • 政策法规
    • 国内药监
    • FDA
    • EU
    • PIC/S
    • WHO
    • ICH
    • 英国MHRA
    • 日本PMDA
    • 加拿大HC
    • 澳大利亚TGA
    • 新加坡HSA
    • 瑞士Swissmedic
    • 韩国MFDS
    • 沙特阿拉伯SFDA
    • 巴西ANVISA
  • 研发注册
    • 概览
    • 监管动态
    • 研究专题
  • 生产质量
    • 概览
    • 监管动态
    • 各国GMP
    • 中国GMP
    • 中国GMP指南(第二版)
    • GMP对比
    • 检查缺陷
    • 研究专题
  • 主题词库
  • 帮助中心
  • 关于识林
    • 识林介绍
    • 识林FAQs
    • 功能介绍
    • 团队诊断
    • 联系我们
  • 30天免登录

    忘记密码?

FDA 官方开展的仿制药研究课题概要:其他仿制药研究

首页 > 资讯 > FDA 官方开展的仿制药研究课题概要:其他仿制药研究

页面比对

出自识林

FDA 官方开展的仿制药研究课题概要:其他仿制药研究
页面比对
笔记
历史版本(Version List)展开 ∨收起 ∧
您暂未开通此内容

2025-11-07

跳转到: 导航, 搜索
*题图截取自报告。

在《2024财年GDUFA科学与研究报告》中,FDA利用内部资源和外部合作,在九大领域开展了超过70项研究课题,涵盖当前仿制药研发、审评以及监管科学的重大课题,旨在全面促进仿制药产品开发和可及。

如今的仿制药开发已不同以往,在质量和成本的双重压力下,我国仿制药企业有必要迎头赶上,走在技术的最前沿,同时也要立足中美市场并走向全球。FDA的研究能够提供与一般指南不一样的独特角度,不仅提示开发方向,也可解决实际问题。

识林将逐一编译报告内容,包括代表性课题内容、课题目录以及已发表文献清单,陆续发布,供我国仿制药企业查阅参考。

第九章:其他仿制药研究

除了前面8个划分明确的领域,GDUFA科学与研究计划还在其他多个领域推进研究,例如,为保障治疗阿片类药物成瘾及用药过量急救的仿制药供应等等,旨在满足重大公共卫生需求。下文简要介绍研究内容。

阿片类药物产品

2024财年,FDA重点开展了两项工作:一是审查用于预防阿片类药物依赖复发或逆转用药过量的产品;二是持续推进针对滥用遏制制剂(Abuse Deterrent Formulation,ADF)阿片类药物的合同研究。

通过制剂技术防滥用

合同研究75F40121C00178支持验证体外咀嚼研究方法的研发工作。该研究成果确定了关键体外研究设计参数,用于比较仿制阿片类药品与其参比制剂(RLD)经咀嚼后通过口服途径的防滥用特性差异。

另一项合同HHSF223201610004I-HHSF22301002T旨在通过一项PK/PD鼻腔给药(IN)研究,调查处理过的盐酸羟考酮和盐酸纳洛酮缓释(ER)片粒径的影响(参见研究亮点)。

两项FDA内部研究项目侧重于量化阿片类药物经鼻吸入滥用时的药物递送情况。首个研究项目开发了一个结合计算流体动力学(CFD)和基于生理的药代动力学(PBPK)的模型,该模型能够预测处理过的盐酸羟考酮和盐酸纳洛酮ER片鼻腔吸入后的PK,可用于理解观察到的PK数据。该项目使用3D鼻腔模型量化区域沉积。使用市售鼻用粉剂装置作为测试品的研究结果表明,区域沉积的估计值与现有的体内成像数据相当吻合。

支持预防药物的BE开发

其他内部研究项目考察了纳洛酮逆转过量和预防阿片类药品依赖复发。针对鼻腔给药的纳洛酮喷雾剂,研究了一种具有生物预测性的体外透皮(IVPT)和体外-体内外推(IVIVE)模型。该IVPT和IVIVE模型解释了多种纳洛酮鼻腔给药溶液的体外渗透数据与从文献中获得的相应临床数据之间的关系。另一项FDA内部纳洛酮研究评估了用于逆转阿片类药物过量的喷雾干燥纳洛酮鼻用粉剂。研究目标是确定喷雾干燥纳洛酮鼻用粉剂的关键质量属性,并开发体外溶出和鼻腔渗透方法来支持生物预测性建模。

鼻粉制剂基于更高的稳定性以及在鼻粘膜上的滞留时间提高生物利用度,被认为优于液体制剂。这些研究将为鼻腔给药纳洛酮药品的BE建议提供数据支持,鼓励仿制开发上市,这是应对阿片类药品流行的关键对策。

研究亮点:通过鼻腔吸入提高拮抗剂生物利用度(BA)来降低激动剂效应

盐酸羟考酮和盐酸纳洛酮ER片分别含有阿片类激动剂羟考酮和阿片类拮抗剂纳洛酮,制剂设计具有针对鼻腔吸入(IN)滥用的滥用遏制(AD)特性。口服给药时,纳洛酮的生物利用度低(< 3%);但经研磨或处理过的鼻腔吸入制剂能使纳洛酮生物利用度增加(约30%),从而降低羟考酮的激动效应。

由Biopharma Services USA Inc.根据合同研究HHSF223201610004I-HHSF22301002T进行的研究旨在:

(1)分析经特殊处理的药物粒径变化对羟考酮、纳洛酮及其活性代谢物羟吗啡酮鼻腔给药药代动力学参数的影响;

(2)理解粒径大小对纳洛酮减轻羟可酮的药物喜好(Drug Liking)和其他PD效应的影响;

(3)评价经特殊处理的药物通过鼻腔给药途径的安全性与耐受性。

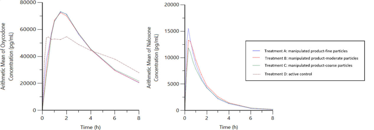
该研究设计为单剂量、随机、双盲、阳性对照、五周期交叉研究。完成研究的39名受试者是非依赖性娱乐性阿片类药物使用者,他们接受了纳洛酮激发和辨别试验,确保他们能够区分活性对照药的积极药效和安慰剂的效果,并且能够耐受研究产品。研究中使用的活性对照(治疗D)是研磨的盐酸羟考酮速释(IR)片(盐酸羟考酮40 mg剂量),安慰剂(治疗E)是微晶纤维素粉末。受试者接受的其他三种治疗是不同处理过的盐酸羟考酮40 mg;盐酸纳洛酮20 mg ER片产品:治疗A包含细颗粒(106-300 μm),治疗B包含中等颗粒(300-600 μm),治疗C包含粗颗粒(600-1000 μm)。

该研究的PK结果显示,尽管粒径范围不同,三种处理过产品中羟考酮和羟吗啡酮的吸收速率和程度(早期程度除外)具有可比性(峰浓度[Cmax]和从零到无穷大的曲线下面积[AUCinf]的90%置信区间在80.00-125.00%的可接受范围内,图1)。对于羟考酮,随着粒径增大(A < B < C),早期吸收程度(AUC 0-0.5,0-1,和0-2)降低;而对于纳洛酮,随着粒径增大,观察到吸收速率和程度降低(图1)。

图1 盐酸羟考酮与盐酸纳洛酮缓释片三种经鼻给药改良制剂(A、B、C治疗方案)及活性对照(D治疗方案)给药后羟考酮(左)与纳洛酮(右)的药代动力学特征(N=39)

研究结果表明,通过视觉模拟评分(VAS)测量的三种受试产品的药物喜好(Drug Liking)和再次服药意愿(Take Drug Again)的PD终点(最大效应,Emax),与研磨的盐酸羟考酮IR片(治疗D)相比,均显示出显著的滥用遏制潜力(p<0.0001)(表1)。结果还表明,不同粒径的受试产品之间总体滥用遏制潜力相当。所有研究治疗均耐受性良好,未出现非预期或严重不良事件。

研究项目清单及成果如下(翻译仅供参考):

研究进展与成果 研究项目
Continuing Grants and Contracts

持续性资助与合约

Contract (75F40121C00178) In-Vitro Tools to Simulate Chewing of Pharmaceutical Opioid Drug Products

项目(75F40121C00178):模拟咀嚼药物阿片类药品的体外工具

Completed Grants and Contracts

已完成的资助与合约

Contract (HHSF223201610004I-HHSF22301002T) Nasal Pharmacokinetic (PK) /Pharmacodynamic (PD) Studies of Oral Combination Products Containing Opioid Agonists and Antagonists

项目(HHSF223201610004I-HHSF22301002T):含阿片类激动剂和拮抗剂的口服复方制剂的鼻腔药代动力学(PK)/药效动力学(PD)研究

Active FDA Research

FDA正在进行的研究

Development of In Vitro Methods for Nasal ADF Opioids

鼻用ADF阿片类药物体外给药方法的开发

Nasal Pharmacokinetic (PK) /Pharmacodynamic (PD) Studies of Oral Combination Products Containing Opioid Agonists and Antagonists

含阿片类激动剂和拮抗剂的口服复方制剂的鼻腔药代动力学(PK)/药效动力学(PD)研究

Articles

文章

A Chewing Study of Abuse-Deterrent Tablets Containing Polyethylene Oxide Using a Robotic Simulator

使用机器人模拟器对含聚乙烯氧化物的抗滥用片剂的咀嚼研究

Development of an In Vitro Method for In Vivo Prediction of Regional Deposition of Nasal Powders

开发体外方法预测鼻用粉剂在体内的区域沉积

Designs of Clinical Swallowability Assessments of Solid Oral Dosage Forms in Regulatory Submissions

在监管提交中口服固体制剂临床吞咽评估的设计

其他活动

研究项目清单及成果如下(翻译仅供参考):

研究进展与成果 研究项目
New Grants and Contracts

新的资助与合约

Contract (75F40123D00041-75F40124F19002) Labor for Scientific/Clinical Support for Human Subject Monitoring

项目(75F40123D00041-75F40124F19002):为人类受试者监测提供科学/临床支持的劳务

Continuing Grants and Contracts

持续性资助与合约

Contract (75F40121P00621) In Vitro Assessment of Mixed Amphetamine Salt (MAS) Products

项目(75F40121P00621):混合安非他明盐(MAS)产品的体外评估

Active FDA Research

FDA正在进行的研究

Global Manufacturing Sites for Complex Drug Products

复杂药品的全球生产场地

International Council for Harmonisation of Technical Requirements for Pharmaceuticals for Human Use - M13A

ICH - M13A

U.S. FDA Efforts to Support Harmonization of Generic Drug Approval Standards

FDA致力于推动仿制药审批标准的协调

Articles

文章

A Biopharmaceutics Classification System for Orally Inhaled Drug Products

口服吸入药品的生物药剂学分类系统

Global Harmonization of Immediate-Release Solid Oral Drug Product Bioequivalence Recommendations and the Impact on Generic Drug Development

速释口服固体制剂生物等效性建议的全球统一及其对仿制药开发的影响

识林-梓

识林®版权所有,未经许可不得转载

岗位必读建议:

  • 生物等效性研究人员:深入理解并应用本指南进行生物等效性研究设计和数据分析,确保研究的科学性和合规性。
  • 临床研究部门:在设计临床试验时,考虑本指南对受试者选择、研究设计、样本量计算等方面的要求。
  • 质量管理(QA):确保生物等效性研究的执行和记录符合本指南的规定。
  • 注册部门:在药品注册过程中,依据本指南准备和提交生物等效性研究资料。

文件适用范围:
本文适用于口服固体速释制剂的生物等效性研究,包括化学药和生物制品,主要针对ICH成员国的监管机构,适用于Biotech、大型药企、跨国药企等。

要点总结:

  1. 研究目的与背景:明确了生物等效性研究的目的,即通过药代动力学终点评估口服固体制剂的生物等效性,并强调了数据完整性的重要性。
  2. 研究设计原则:推荐使用随机、单剂量、交叉研究设计,并详细说明了研究人群选择、样本量计算、研究设计和条件等关键要素。
  3. 数据与统计分析:强调了非重复研究设计的数据呈现和统计分析方法,包括生物等效性分析人群的考虑、数据呈现、统计分析的一般考虑等。
  4. 特殊主题:讨论了内源性化合物、其他速释剂型(如口腔崩解片、咀嚼片、口服悬浮液)、固定剂量组合和pH依赖性等特殊主题。
  5. 文档记录:要求生物等效性研究报告应包含完整的研究协议、执行和评估记录,并符合ICH E3的格式。

以上仅为部分要点,请阅读原文,深入理解监管要求。

岗位必读建议:

  • QA:确保口服固体制剂的生产过程符合本指南要求。
  • 生产:遵循生产管理章节的指导,确保生产过程的合规性。
  • 研发:在设计和选型设备时,参考本指南以确保设备符合生产需求。
  • 临床:在产品实现和验证阶段,确保临床试验用药品的质量符合要求。

文件适用范围:
本文适用于口服固体制剂的化学药品,包括创新药和仿制药。适用于中国药企,包括大型药企、Biotech以及CRO和CDMO等。

文件要点总结:

  1. 质量风险管理:强调了质量风险管理在口服固体制剂生产中的重要性,包括原则和工具的应用。
  2. 生产管理:明确了生产过程中的关键控制项目,如批次管理和清场管理。
  3. 设备要求:规定了生产设备的设计、选型、校验、清洗、维护和使用记录。
  4. 生产过程控制:概述了工艺设计和过程单元操作的详细要求,包括配料、粉碎、混合等。
  5. 物料管理:强调了物料的接收、储存、分发、退库以及检验与放行的管理。

以上仅为部分要点,请阅读原文,深入理解监管要求。

取自“https://login.shilinx.com/wiki/index.php?title=FDA_%E5%AE%98%E6%96%B9%E5%BC%80%E5%B1%95%E7%9A%84%E4%BB%BF%E5%88%B6%E8%8D%AF%E7%A0%94%E7%A9%B6%E8%AF%BE%E9%A2%98%E6%A6%82%E8%A6%81%EF%BC%9A%E5%85%B6%E4%BB%96%E4%BB%BF%E5%88%B6%E8%8D%AF%E7%A0%94%E7%A9%B6”
上一页: GRx_Biosims_大会简报:FDA_的仿制药申报、审评与检查
下一页: EMA_发布噬菌体药品_CMC_指南征求意见,全球主要药监首份
相关内容
热点新闻
  • FDA 发483回复指南:从内容,...
  • 【直播】26年3月全球法规月报...
  • 【主题词】人工智能,贝叶斯方...
  • 【轻松一刻】今天,你养龙虾了...
  • 国际药政每周概要:FDA 力推...

 反馈意见

Copyright ©2011-2026 shilinx.com All Rights Reserved.
识林网站版权所有 京ICP备12018650号-2 (京)网药械信息备字(2022)第00078号
请登录APP查看
打开APP